Chemical Engineering
Fluid Mechanics - Flow through Pipes
Experiments
Aim
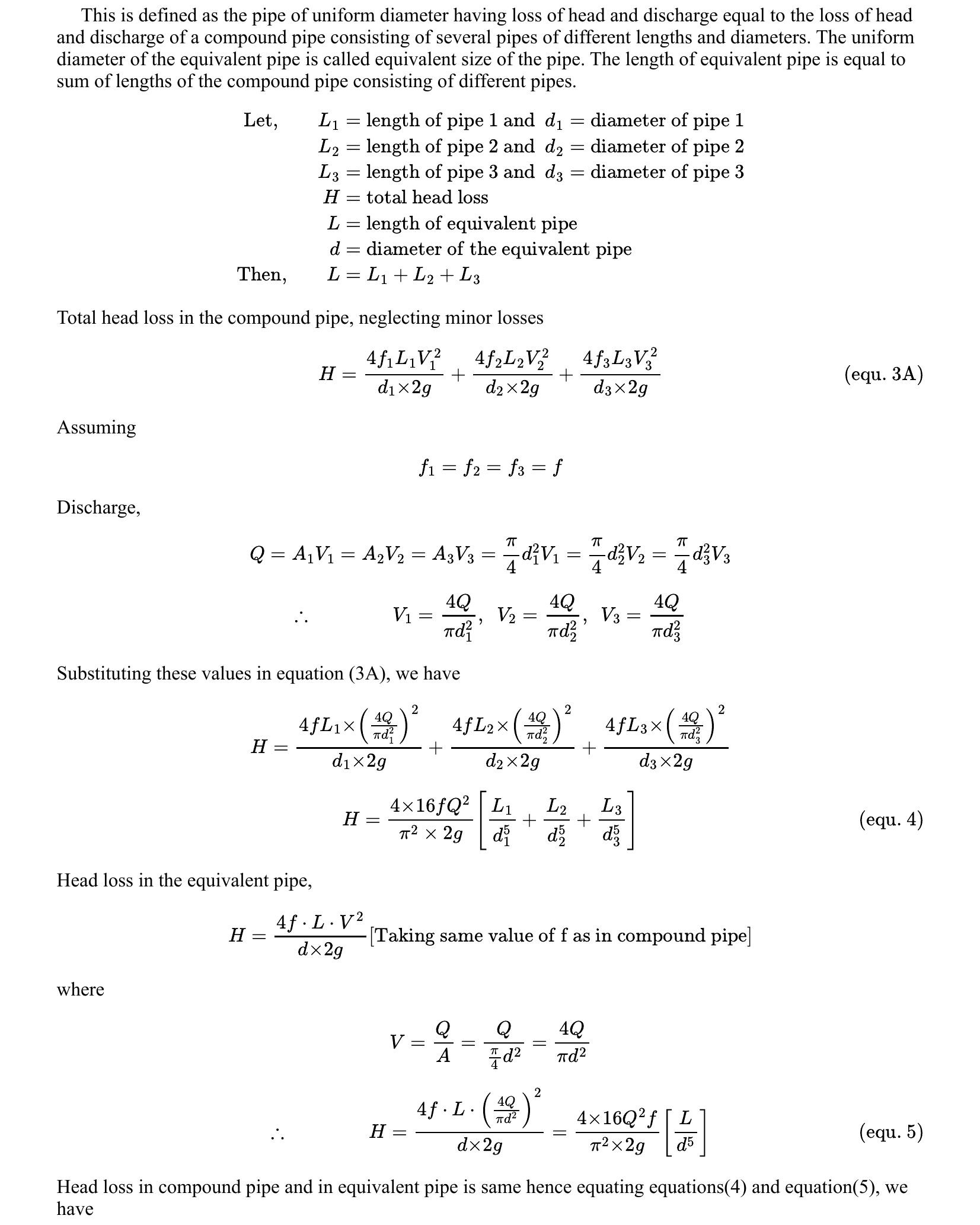
Theory
Pretest
Procedure
Simulation
Posttest
References
Contributors
Feedback
Aim
Theory
Pretest
Procedure
Simulation
Posttest
References
Contributors
Feedback
Flow through Pipes: Flow through branched pipes